尿素樹脂の重合反応

 尿素樹脂というプラスチックがある。ユリア樹脂ともいうのだけど、化学の教科書には食器、雑貨類、瓶の栓、接着剤なんかが用途として挙げられている。給食の食器に使われているのを見たことのある人は多いと思う。
 同じアミノ樹脂の仲間でメラミン樹脂というものがある。同じような物性であり、食器、家具、電気器具、塗料、接着剤として使われる。教科書の使用例には上がっていないけど、激落ちくんの正体は材料にメラミンフォームと書いてあることから分かるように、メラミン樹脂である。ドイツで開発された新素材ってうたってるけど、メラミン樹脂はアメリカの化学者が1938年に開発したらしいぞ。スポンジとして作ったところに新規性があるということなのだろうか。
 アミノ樹脂の合成法は、例えば尿素ホルムアルデヒド塩基性条件で混合して、メチロール尿素として溶解し、酸を加えてpHを下げて酸性条件で重合させるという合成法がある。
 アミノ樹脂の重合反応がどのような反応機構なのか気になったのだけど、あまり詳細な説明が見つからない。例えば、ブックオフで105円で買ってきて以来僕の本棚に収まっている高分子の化学には次に示すように重付加の説明で一例として軽く触れていたり、

6.2.3 重付加
 2, 6-トリレンジイソシアナートは、アルコールやアミンのような活性水素化合物と容易に付加反応して高分子を生成する。ポリウレタンやポリユリヤの生成はその例である。

OCN-R-NCO + H2N-R'-NH2 → -[CONH-R-NHCONH-R'-NH]n-

付加重合の項で、フェノール樹脂のついでに書かれているだけである[1]

 尿素あるいはメラミンはホルムアルデヒドと反応し、-HN2または>NH基のメチロール化を経て付加重合が進行する。塩基性で生成するメチロール尿素、メチロールメラミンは熱硬化してユリヤ(尿素)樹脂、メラミン樹脂となる。
 ホルムアルデヒド活性水素を有する化合物(酸成分)とアミンを酸触媒で付加させるとMannich反応に似た反応が起こり、結合が繰り返されて直鎖状高分子が生成する。

とのことである。マンニッヒ反応というのが出てくるけど、「似た反応」ということなのでこれを参考にするには躊躇われる。
 実験科学講座には次のように書いてある[2]

 アミノ樹脂は、尿素、メラミン、グアナミン類などとホルムアルデヒドとの反応により得られる樹脂の総称である。これらのプレポリマーは一般に水溶性であるため使いやすく、無色透明で着色性に優れており、硬化樹脂は合成、耐摩耗性、耐熱性などの優れた性質を示すことから、接着剤や塗料、成型材料などの用途に使用されている。
 アミノ樹脂においても、フェノール樹脂と同様に反応条件により生成物が異なる。たとえば、尿素ホルムアルデヒドとの反応においては、酸性条件下ではメチロール基の縮合反応が起こりやすくなり、メチロール基を持たない直鎖状のメチレンポリ尿素が生成するが、この化合物は水や有機溶媒に不溶である。塩基性条件下においては付加反応が優先するので、メチロール基を持つ水溶性の尿素樹脂オリゴマーの混合物が得られる。このメチロール化尿素類は、酸触媒存在下で加熱することによりメチレン化が進行し、架橋して尿素樹脂硬化物となる。メラミン樹脂などについても、塩基性条件下でのホルムアルデヒドとの反応によりメチロール体を形成させた後に、無触媒または酸触媒存在下で加熱することにより、硬化反応を進行させる。

NH2CONH-(CH2NHCONH)n-CH2NHCONH2

 そういうことで、アミノ樹脂の重合反応の反応機構についてまとめてみた。
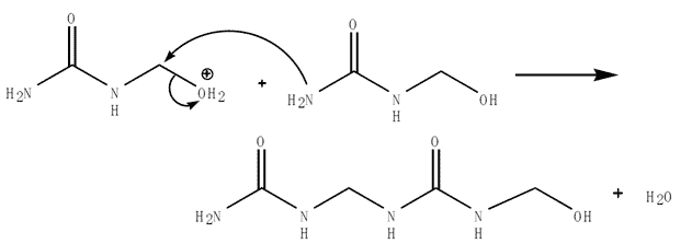
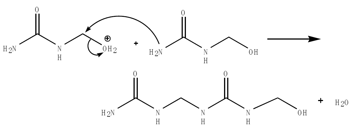
 メラミンだと2種類のアミノ基があって面倒なので、尿素について思索した。

 古い論文とか漁るのはやってられないので、検索してテキトーに見つけたものをソースにまとめた。なお、反応機構では面倒なので非共有電子対は描かない。正負の符号だけで判断してもらいたい。
① 塩基性条件では尿素プロトン水酸化物イオンに引き抜かれる。

② ①でプロトンを引き抜かれたアミノ基の電子がホルムアルデヒドのカルボニルに攻撃し、メチロール化する。

③ 酸性条件にするとオキソニウムイオンからプロトンが供給され末端のO-水酸基になる。この部分、水からプロトンが供給されることはない、筈なんだけど、エネルギー計算するとH2OからH+が引っこ抜かれてしまう。違うのかな。

④ もう1個プロトンが供給される。

⑤ プロトン化した水酸基に電子を引っ張られたことで電子密度の低くなった隣の炭素に別のメチロール化尿素のアミノ基が攻撃し、プロトン水酸基共有結合していた電子を引き連れて水となって脱離する。


 こんな感じになっている。
 やっぱり、非共有電子対を描かないと変な感じがするなあ。
 今後はこれらの反応について無理なく行けるのか計算して検証しようと思う。また、今回は尿素をモデルとしたが、メラミンの6員環にある3級アミンでもメチロール化して同様の反応が行くのかを調べたい。
 しかし、そんなことよりも、ブラウザでPDFを開けない問題が不便でたまらない。どうなってんだ。

参考文献
 [1] 土田英俊, 高分子の科学, 培風館(1975)
 [2] 日本化学会, 第5版 実験化学講座26 高分子化学, 丸善(2005)
 [3] 蜷川栄作, 尿素-アルデヒド負荷反応機構について
 [4] Borregaard LignoTech(魚拓)